下载app免费领取会员
1)楼梯的创建模式。将楼层平面置于1F层详见图2.8-1所示,选择“建筑”"“楼梯”命令,将楼梯绘制方法改为“直梯”绘制方式,设置属性栏中的“底部标高”为“1F”、“底部偏移”为“0”、“顶部标高”为“2F”、“顶部偏移”为“0”、“所需踢面数”为“20”详见图2.8-9所示。

图2.8-9 楼梯参数设置
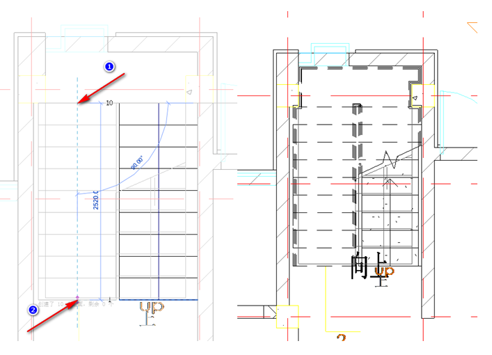
2)参数设置完后,依次捕捉图2.8-10所示,先绘制第一跑楼梯绘制(10节楼梯段),单击“平台”"“创建草图”"“拾取线”图2.8-11所示。

图2.8-10 捕捉CAD图的端点

图2.8-11 拾取平台绘制
3)拾取墙边线详见图2.8-12所示,快捷键T+R修改绘制完成后点击按钮详见图2.8-13所示。

图2.8-12 拾取平台绘制

图2.8-13 平台绘制修改
4)在绘制第二跑楼梯点击依次捕捉图2.8-14所示。绘制完成后点击按钮详见图2.8-15所示,点击进入3D视图,详见图2.8-16所示。将不需要栏杆选择按快捷键D+E删除。

图2.8-14 捕捉CAD图的端点 图2.8-15 楼梯绘制后平面图效果

图2.8-16 3D效果图
转载请注明来源本文地址:https://www.wanbim/bim/249835.html
上一篇:没有了
下一篇:没有了